당뇨병 초기증상 - 당뇨병 원인, 자가진단법 등 당뇨의 모든 것!

 

당뇨병(糖尿病)은 말 그대로 소변으로 당이 나오는 질환을 말합니다. 소변으로 당이 빠져나오는 것은 몸에 당이 넘쳐나기 때문이고, 이는 우리 몸에서 당을 적절하게 저장하지 못하고 당을 낭비하기 때문입니다. 이는 인슐린이 포도당의 연소를 효율적으로 하지 못한다는 뜻으로, 즉 당뇨병이란 인슐린의 분비량이 부족하거나 정상적인 기능을 하지 못하는 대사질환으로 고혈당을 특징으로 하는 질환입니다.

 

당뇨병 초기증상 - 당뇨병 원인, 자가진단법 등 당뇨의 모든 것!

 


당뇨병의 초기증상(당뇨병 자가진단)


대한당뇨병학회의 자료에 따르면 우리나라의 당뇨병 환자는 320만명으로, 성인의 10명 중 1명이 당뇨병 환자일 정도로 환자가 많습니다. 이는 나이가 들수록 더한데 65세 이상의 경우 약 23%가 당뇨병을 앓고 있습니다. 하지만 당뇨병은 대부분의 환자가 증상을 느끼지 못하기 때문에 전조증상을 예민하게 파악해서 몸을 관리하는 것이 필수적입니다.

 

1. 다뇨

혈당이 배출될때 우리 몸의 수분과 함께 배출되기 때문에 소변을 많이 보게되는데, 정상인 기준 1.5리터가 소변량이라면 당뇨병 환자의 소변은 3리터 가까이 됩니다.

 

2. 다음

위의 다뇨 증상으로 수분이 몸에서 빠져나가 물이 다시 부족해지고, 이를 보충하기 위해 많이 마시게 됩니다. 

당뇨병 초기증상 - 당뇨병 원인, 자가진단법 등 당뇨의 모든 것!

 

 

3. 다식

비정상적인 인슐린 작용으로 포도당의 이용률이 낮아지고, 다뇨로 인해 많은 포도당이 배출되어 공복감을 느끼게 되고 많이 먹게 됩니다.

 

4. 탄수화물 강박증

다식과 연관되는 증상으로, 밥이나 빵에 대해서 집착이 늘어나는 현상을 말합니다. 우리 몸에 당을 제대로 저장하지 못해서 당축적 욕망이 나타날 수 있습니다.

 

5. 급격한 체중변화

살이 갑자기 빠지거나, 찌는 경우 당뇨병의 전조증상일 수 있습니다.

 

6. 식곤증/피로감

식사를 하면 당을 섭취하게 되는데, 당이 올라가면 인슐린이 분비되어 보상적으로 당을 떨어지게 되는데, 이 기능이 고장나면 식곤증이 발생하거나 가슴이 뛰고 불안감이 생길 수 있습니다. 피곤해서 휴식을 취해도 피로가 가시지 않는 경우 높은 혈당이 원인일 수 있습니다.

 

7. 눈이 침침해짐

 

8. 염증이 갑자기 많이 발생함

특히 부드러운 속살 안에 염증이 생기거나, 생겼던 상처가 잘 낫지 않는 경우 고혈당을 의심해볼 수 있습니다.

 

 

9. 자다가 쥐가 남

보통 혈액순환이 안될때 쥐가 나는데, 혈액순환이 안되는 원인 중에 하나가 높은 혈당일 수 있습니다.

 

10. 가려움증이 생겼다

미열을 동반하면서 가려움을 느낄때 높은 혈당이 원인일 수가 있습니다. 예민한 사람이 혈당이 높아지는 것을 피부로 느끼는 경우가 있는데, 특히 음식을 먹고 난 후에 가려움을 느낀다면 반드시 혈당검사를 받아야 합니다.

 

위의 10가지 당뇨병 자가진단 리스트에서 해당되는 항목이 있으면, 전문의의 상담을 받아보셔야 합니다. 당뇨병은 위의 대표적인 증상 외에도 증상이 나타나지 않는 경우가 많고, 과음을 했는데도 몸이 개운한 경우처럼 매우 다양한 증상으로 나타나기 때문에 의심이 된다면 혈당검사를 받으셔야 합니다.

* 과음하면 밤사이 혈당이 떨어지기 때문에 평소에 당이 높은 사람의 경우 새벽에 개운한 느낌을 받게 됩니다.

 

 


당뇨병의 진행과정


1. 복부비만

당뇨병은 서구화된 식습관으로 인해, 그리고 살이 찌면서 시작이 됩니다. 통계적으로도 뱃살이 많을수록 당뇨병의 가능성이 높습니다. 보통 허리둘레를 배꼽 주위 기준으로 측정해서 남자 90cm 여자 85cm 이상이면 위험으로 봅니다. 우리 몸의 지방세포는 지방과 당을 보관하고 있는데 지나치게 섭취되면 주변으로 지방산을 분출하게 됩니다. 지방산은 위험한 물질인데, 복부에서 지방산은 주위의 간과 췌장으로 흘러가게 됩니다. 췌장에 지방이 차게되면 인슐린 분비가 줄어들게 됩니다. 특히 지방산이 간으로 가면, 간이 지방산을 중성지방으로 바꾸는 노력을 하게 되는데 지나치면 지방간이 되는 것입니다.

 

2. 지방간

당뇨병 초기증상 - 당뇨병 원인, 자가진단법 등 당뇨의 모든 것!

비만과 지방산의 영향으로 지방간이 진행되는지는 혈액검사를 통해서 알 수 있는데 보통 ASL과 ALT를 측정하게 됩니다. 이는 각각 아스파르테이트아미노전달효소, 알라닌아미노전달효소를 측정하는 것으로, ASL 40이상 ALT 45이상이면 지방간으로 봅니다. 외국의 경우 남자는 35 이상, 여자는 20이상 경고를 하고 있습니다.

 

3. 이상지혈증

보통 고지혈증이라고 하는 현상도 나타나게 됩니다. 중성지방(TG)가 150이상으로 높은 지혈증을 말합니다. 고 HDL 콜레스테롤(HDLc)이 3.5이상인 경우, 혈당이 100mg/dl 이상으로 상승 하고, 인슐린 저항성이 있다고 합니다.

 

위의 당뇨병 진행 사이클은 순서대로 진행이 되는데 뱃살에서 고혈당까지는 보통 3~5년 내에 진행이 됩니다. 하지만 운동과 식사조절을 통해서 체중감량을하고 뱃살을 줄이면 위의 사이클을 역주행 시킬 수 있습니다. 일반적으로 7~10% 감량을 하면 지방간의 절반 이상이 줄어드는 것으로 나타나고 있기 때문에, 당뇨가 의심되는 분들은 체중감량을 최우선적으로 하셔야 합니다.

 

 

 

 


당뇨병(2형당뇨병)의 조기 신호


우리가 흔히 건강검진에서 기본사항으로 체크하는 것들만 잘 살펴보면 내 몸이 현재 당뇨병으로 발전하고 있는지를 알 수 있습니다. 건강검진을 받을 때 당뇨병과 직접적으로 연관이 있는 검사항목은 아래와 같습니다.

 

1. 혈당

2. 체질량지수(BMI)  *25이상은 비만

3. 인슐린저항성(SPISE) 중성지방/HDLc

4. 지방간

5. 이상지혈증

 

유럽당뇨학회(EASD, European Association for the Study of Diabetes)에서 2005년부터 2016년까지 당뇨병이 없는 27,392명의 일본인을 추적조사 한 통계가 있습니다. 당뇨병 전단계에서 당뇨병이 된 사람(4781명)당뇨병에서 당뇨병으로 진행이 되지 않은 사람(10,994명)을 비교한 연구인데, 결과는 다음과 같습니다.

 

체질량지수(BMI) 정상 21.8, 발병환자 22.5

공복혈당(FPG) 정상 90, 발병환자 92

중성지방(TG) 정상 76, 환자 84

SPISE _낮을수록 저항성 높다. 정상 8.71, 환자 8.15

 

10년 전부터 당뇨병으로 발전할 사람들의 지표가 나빴음을 알 수 있습니다.

 

 

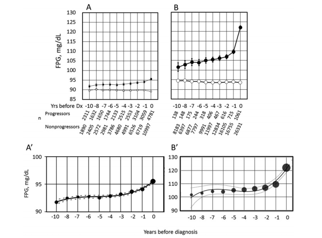
1. 혈당

A 당뇨전단계 vs 정상

B 당뇨병 vs 정상(당뇨전포함)

 

 

 

당뇨가 아닌 사람은 90mg/dl로 유지가 되지만, 당뇨로 발전하는 사람은 혈당이 수년간 점차 증가하는 것을 볼 수 있습니다. 정상과 당뇨전단계의 차이는 이미 크고, 10년전부터 100mg/dl이 넘었습니다. 또한 B를 보시면 당뇨병을 진단받기 바로 전인 1년 안에 급격히 혈당이 올라가는 것을 볼 수 있습니다. 이처럼 계속적으로 그리고 점진적으로 당이 올라가고 있는 것이 확인 되었습니다. 또한 공복혈당이 110mgl/dl이 넘으면 갑자기 나빠질 가능성이 매우 높으므로 적극적인 대응이 필요하다는 의미도 찾을 수 있습니다.

 

 

A' 정상에서 당뇨병 전단계의 혈당으로, 시간에 따라 점진적이고 B' 정상(전단계포함)에서 당뇨병으로 발전하는 것은 급격하게 됨을 알 수 있습니다. B'에서도 110 수준에서 급격히 진행되는 것을 확인할 수 있습니다.

 

 

 

2. 체질량지수 변화

A. 정상에서 당뇨병 전단계로

B. 정상(전단계포함)에서 당뇨병으로

 

 

 

 

 

이 그래프에서는 체질량지수 24-25에서 급격하게 당뇨병으로 진행이 됨을 알 수 있습니다.

 

 

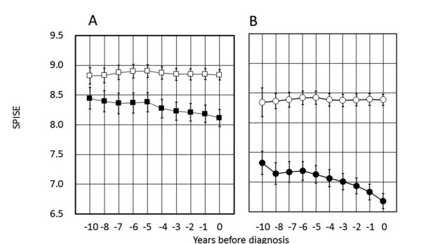
3. SPISE(인슐린저항성)의 변화

A 정상에서 당뇨병 전단계

B 정상(전단계포함)에서 당뇨병으로

 

 

SPISE는 HDLc, TG, BMI 수치들의 종합적인 결과로, 높을 수록 좋습니다. B그래프를 보면, 당뇨병 환자로 발전하는 사람은 SPISE가 처음부터 나빴고, 인슐린 저항성이 점차 심해지고 있는 것을 알 수 있습니다.

 

위를 연구결과를 종합적으로 보면 당뇨병이 오기 전에 조기 신호는 다음과 같다고 볼 수 있습니다.

 

 

혈당이 90mg/dl이상

체질량지수가 25 이상

허리둘레 남자 90cm, 여자 85cm 이상

AST/ATL이 35IU 이상

WG/HDLc가 3.5 이상

TG가 150mg/dl 이상

 

 

 


결론


위의 연구결과가 말해주듯이, 당뇨병은 10년~20년에 걸쳐 지속적으로 신호를 보내고 발병합니다. 때문에 건강한 생활습관을 하는 것이 무엇보다 중요합니다. 균형잡힌 식단, 과식금지, 음주절제, 포화지방절제, 규칙적인 운동 등을 해야 합니다.

2020/11/09 - [읽을거리] - 건강한 식습관 - 당신을 죽이는 15가지 식단(연구결과)

 

건강한 식습관 - 당신을 죽이는 15가지 식단(연구결과)

안녕하세요 오늘은 영국의 의학 저널인 란셋(Lancet)에 식습관 개선과 관련해서 좋은 연구결과가 있어서 공유하려고 합니다. 란셋은 1823년 창간호를 발행한 세계 최초의 의학저널인데요. 그만큼

tkis.tistory.com

건강검진에서 혈당 110 또는 당활색소 6.2% 이상이 되면 반드시 바로 당뇨병 관련 정밀검사를 받으시길 권장합니다. 경구당부하검사로 75g의 포도당을 물에 녹여서 마시고 2시간이 지난 후 혈당을 체크하여 200mg/dl가 나오면 당뇨병을 의심하는 검사도 당뇨병 전조증상을 파악하는데 정확성을 보이므로, 의심이 되신다면 병원에서 위의 검사를 받으셔야 합니다.

 

당뇨병은 흔하지만 무서운 질병입니다. 당뇨병 초기증상과 당뇨병 자가진단을 꼭 파악하시고 건강한 생활 하세요!

 

 

 

 

 

 

 

 

 

 

 

 

 

 

 

 

 

300x250
  • 네이버 블러그 공유하기
  • 네이버 밴드에 공유하기
  • 페이스북 공유하기
  • 카카오스토리 공유하기